
Freddy, con los geotecnistas siempre tenemos el mismo problema al solicitarles el coeficiente de balasto de un relleno controlado; no nos lo saben dar. Lo hacen muy bien para el terreno natural pues hacen estimaciones basadas en el SPT, pero para un futuro relleno nos dan valores asumidos, sin soporte. ¿Cómo podemos usar tu método (refiriéndose a RAMCODES) para resolver esto? ¿Por qué, así como lo haces con los ingenieros de pavimentos, no nos hablas en nuestro idioma?
Ya antes había tratado este tema en mis estudios y si el lector gusta puede revisar este artículo http://blogramcodes.blogspot.com/2012/07/terraplenes-y-validacion-de-resistencia.html. Sin embargo, se me ocurrió escribir este artículo para hablar el lenguaje específico de los estructuristas.
Para los que me preguntan sobre el ensayo CBR de laboratorio les doy siempre mi opinión. Es un ensayo muy práctico y económico pero que tiene tres errores fundamentales que son, tal vez, el origen de tantas críticas de las que es objeto el ensayo en el mundo académico. Estos errores son:
1. El valor CBR no tiene ningún significado mecánico. Su «transformación» a un parámetro mecánico se realiza a través de correlaciones.
2. La fase de escurrimiento por 15 minutos, a la que se somete a los especímenes luego de que son sacados del tanque de inmersión y antes de penetrarlos, según se establece en el procedimiento ASTM D 1883-07 cuando se escoje el periodo de 4 días de inmersión como condición de hidratación, es enteramente contraproducente, y hace que el suelo pueda ganar una resistencia adicional debido al incremento incontrolado de la succión (tensión capilar) en el suelo producto del escurrido. Sencillamente se corre el riesgo de que, debido al fenómeno explicado, el suelo presente una resistencia mayor que a la que este tendría de estar realmente saturado.
3. Cuando se elabora la curva de diseño, es decir, la gráfica de grado de compactación versus CBR, para la variante del ensayo a humedad óptima, también conocida como CBR de 3 puntos, bien sea a 4 días de inmersión o a humedad de compactación, realmente esta no es una curva de diseño pues no se puede asegurar que los especímenes estén al mismo grado de saturación. ¿Curva de diseño? Lee aquí –> Curva de diseño
Para resolver estos inconvenientes antes hemos dado las soluciones correspondientes. Por ejemplo, para garantizar que los especímenes estén saturados (al menos aproximadamente), recomendamos que los especímenes pasen los 4 días de inmersión un recipiente que luego pueda ser llevado, junto con el espécimen, a la prensa universal para ensayarlos a la penetración. Es decir, recomendamos ensayarlos bajo agua. Para producir verdaderas curvas de diseño en la condición de humedad de compactación recomendamos diseñar en el 3er nivel de la pirámide utilizando el software SoilDesigner (Entra aquí y mira una infografía de cómo diseñar en el tercer nivel de la pirámide http://blogramcodes.blogspot.com/2012/09/5-pasos-para-disenar-un-suelo.html.
Pero para convertir el CBR en un parámetro mecánico damos la solución en este artículo.
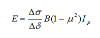
Hemos comprobado que si consideramos el CBR como un ensayo de placa a escala (mini placa) su valoración cambia radicalmente. Ciertamente que el ensayo de CBR es un ensayo de placa pues el pistón, que aplica la carga a velocidad controlada sobre la superficie de la muestra de suelo compactado, tiene un área circular. Para obtener el módulo de Elasticidad (E) de este ensayo se podría utilizar la fórmula de Boussinesq que se emplea en el ensayo de placa de campo ASTM D 1194.
Δσ es el incremento de esfuerzo en un intervalo de carga,
Δδ es el incremento de deformación vertical producido por el incremento de carga,
B es el ancho o diámetro de la fundación,
μ es el coeficiente de Poisson, tomado en 0.35 para suelos compactados,
Ip es el factor de forma de la fundación, que vale 0.79 en placas circulares
También de esta expresión, el cociente Δσ/Δδ es conocido como el coeficiente o módulo de balasto, k, que en este caso sería el «k0.05», dado que el diámetro del pistón CBR es de 5 centímetros.
Por ejemplo, en la tabla siguiente se muestran resultados típicos de la penetración de un espécimen de suelo en el ensayo de CBR. Estos valores que usualmente vienen en unidades imperiales se convierten al sistema internacional mientras se emplea la fórmula de Boussinesq arriba descrita para calcular el módulo de Elasticidad en cada intervalo de carga. Siendo el módulo de Elasticidad la pendiente del trazo inicial, se escoge como valor del módulo el valor más alto de la tabla de resultados (usualmente el inicial o siguiente si es que la curva no requiere corrección por reacomodo de partículas).
|
mm
|
in
|
KPa
|
Psi
|
MPa/m
|
m
|
Mpa
|
||
|
δ
|
Δδ
|
σ
|
Δσ
|
k
|
B
|
(1-μ^2)
|
Ip
|
E
|
|
0
|
0
|
0.05
|
||||||
|
0.635
|
0.025
|
730.34
|
106
|
1149.04
|
0.05
|
0.8775
|
0.79
|
39.82716
|
|
1.27
|
0.025
|
1660.49
|
135
|
1463.4
|
0.05
|
0.8775
|
0.79
|
50.72327
|
|
1.905
|
0.025
|
2445.95
|
114
|
1235.76
|
0.05
|
0.8775
|
0.79
|
42.83299
|
|
2.54
|
0.025
|
2962.7
|
75
|
813
|
0.05
|
0.8775
|
0.79
|
28.1796
|
|
5.08
|
0.1
|
4850.56
|
274
|
742.54
|
0.05
|
0.8775
|
0.79
|
25.73736
|
|
7.62
|
0.1
|
6462.82
|
234
|
634.14
|
0.05
|
0.8775
|
0.79
|
21.98009
|
|
10.16
|
0.1
|
7820.15
|
197
|
533.87
|
0.05
|
0.8775
|
0.79
|
18.5046
|
|
12.7
|
0.1
|
9267.05
|
210
|
569.1
|
0.05
|
0.8775
|
0.79
|
19.72572
|
Dados estos resultados, se reporta el valor del módulo de Elasticidad del espécimen como el valor más alto de la columna para «E«, que en este caso es 50 MPa, y que representa la pendiente del tramo recto inicial de la curva esfuerzo vs. deformación. De igual forma, para el coeficiente de balasto, se toma el valor mayor de la columna «k«, que es en este caso 1463 MPa/m.
Los resultados de módulo de Elasticidad, o los de coeficiente de balasto, se utilizarían luego para trazar las curvas de diseño, usando cualquier software de graficación, en el caso de CBR de tres puntos a 4 días de inmersión, o utilizando el software SoilDesigner, en ese mismo caso o en el de CBR 15 puntos a humedad de compactación. Para recordar cómo se hace esto puedes leer http://blogramcodes.blogspot.com/2012/08/experto-en-ramcodes-para-suelos.html.
En conclusión, este artículo presenta la alternativa de «valorizar» el ensayo de CBR, por una parte, analizando sus resultados como si fuera una prueba de placa a escala (¡que de hecho lo es!), y por otro, corrigiendo el procedimiento normativo ASTM para la condición de hidratación de 4 días de inmersión, como la interpretación de los resultados para ensayos en la condición de hidratación con humedad de compactación.
De modo que, amigo estructurista, cuando se trate de rellenos controlados ya no acepte aproximaciones o valores sacados del sombrero de mago, solicite resultados de ensayos. Pero ya no le solicite al laboratorio un ensayo de CBR, sino un ensayo de mini placa, y exija que le reporten tanto el módulo de Elasticidad, como el coeficiente de balasto (¡pida su k0.05!).
Tengo en mi escritorio los resultados de un gran número de pruebas de placa realizadas sobre un par de terraplenes de prueba con relleno controlado y voy a analizarlas utilizando las conocidas fórmulas de Terzaghi y Peck (1967), con validación de D’Appolonia y otros (1970) para correlacionar el asentamiento de una prueba de placa con el asentamiento medido en una fundación real, y averiguar si también se puede utilizar la prueba de mini Placa como un predictor de este asentamiento. De ser posible sería simplemente genial. Les aviso en un próximo artículo.
Si aún no se han enganchado con el relato de ingeniería civil que estamos escribiendo, ya va por su tercer capítulo MR. CARLSON. Puedes leerlo en http://blogramcodes.blogspot.com/2012/09/mr-carlson.html
Freddy J. Sánchez-Leal
Te invito a compartir criterios en las redes sociales. Este es mi Twitter @ramcodesCEO



Comments (24)
Emmanuel Garcoa - 26 septiembre, 2012
Excelente artículo, gran aporte. Soy estudiante de término de Ingeniería Civil en República Dominicana y siempre estoy muy atento a sus publicaciones y a su blog, excelente Ingeniero, siga contribuyendo a la comunidad y a los que dentro de poco entraremos en ella. Gracias
Freddy J. Sánchez-Leal - 26 septiembre, 2012
Emmanuel, estoy muy agradecido por su comentario y sus conceptos. Son un estupendo aliciente para seguir adelante con este trabajo. Un saludo a esa hermosa tierra dominicana y mucho éxito en su carrera profesional.
ventura Majano cortez - 26 septiembre, 2012
Excelente el trabajo de Freddy Sánchez. Valga la oportunidad para agradecerle todas sus sugerencias que van para el mejoramiento de la ingeniería.
Atentamente. Ing. Ventura Majano Cortez.
Ing. Civil de El Salvador
Freddy J. Sánchez-Leal - 26 septiembre, 2012
Estimado colega Ventura Majano, aprecio mucho este comentario y sus conceptos. Su valoración y el hecho de que le sea de utilidad son nuestra mayor recompensa.
Ing. José Domingo Gavanzo - 26 septiembre, 2012
Mi colega Ing.Freddy Sanches por su excelente investigacion, ya que el CBR, nos ha traido inconvenientes con los Construtores, pero con gran aporte el criterio de aplicación se hace más funcional.
Mis agradecimientos.
D. Gavanzo P.
Ing. Civil de Colombia.
Freddy J. Sánchez-Leal - 27 septiembre, 2012
Colega Ing. Gavanzo,
Aprecio mucho este comentario y sus conceptos sobre este trabajo. El hecho de que le haya sido de utilidad es mi mayor recompensa.
Un gran saludo para Ud. y para toda Colombia.
Robinson Villalobos - 28 septiembre, 2012
Ing. Sanchez gusto en saludarle y mi respeto para usted, quisiera preguntarle si existen laboratorios en Venezuela que realicen el ensayo de mini placa para determinar valores acertado de modulo de elasticidad y coeficiente de balasto? Saludos!
Freddy J. Sánchez-Leal - 28 septiembre, 2012
Estimado colega, muy agradecido por su comentario. Sí, de hecho virtualmente cualquier laboratorio que tenga un equipo completo para hacer ensayo CBR (ASTM D 1883-07) puede convertir sus resultados en módulo de Elasticidad y/o coeficiente de balasto siguiendo este procedimiento. Lo que faltaría es la capacitación del personal. En el caso de Venezuela, conozco bien tres laboratorios en Coro, Punto Fijo, y El Tigre, que si me escribe a este correo ramcodes@gmail.com le puedo dar las coordenadas para que se comunique con ellos para más información.
Muchos saludos.
Robinson Villalobos - 1 octubre, 2012
Si es cierto ingeniero se puede obtener de forma empirica el valor del modulo de reaccion vertical del suelo o modulo de balasto a partir de ensayos de consolidación (CBR) o tambien a partir del esfuerzo admisible del suelo segun (Bowles) que es un criterio bastante conservador y tambien es cierto que los laboratorios que usted menciona los determina asi porque lo he visto en sus informes tecnicos pero la pregunta era si algun laboratorio en venezuela realiza el ensayo de mini placa para determinar de forma directa el modulo de balasto ensayando un plato de carga y llevando a un grafico la relacion entre el esfuerzo aplicado y el desplazamiento o asentamiento medido. Por lo veo hace falta el equipo y preparar al personal para realizar este ensayo lo cual creo que es necesario para comparar los resultados obtenidos empiricamente con los resultados del ensayo de mini placa. Gracias por su respuesta Ingeniero. Saludos!
Freddy J. Sánchez-Leal - 1 octubre, 2012
Robinson, posiblemente he creado una confusión. Cuando me refiero al ensayo de mini Placa es uno nombre que propongo darle al ensayo CBR de laboratorio cuando sus resultados son analizados como si fuera un ensayo de placa a escala. Y la ventaja que tiene, por encima de los ensayos de placa, GeoGauge, placa dinámica (este lo conocí hoy gracias a este estupendo blog), es que con estos se diseña el suelo en el Nivel 2 de la pirámide de diseño, mientras que con la mini Placa (es decir, el CBR analizado como si fuera un ensayo de placa a escala) se puede diseñar en el Nivel 3 de la pirámide, con todas sus ventajas y menores riesgos.
Jaime Botia - 10 mayo, 2020
Ing buenos Días, muy bueno su articulo, ahora con las nuevas tecnologías podemos utilizar el LWD el cual nos entrega resultados en tiempo real
Carlos Fernandez - 1 octubre, 2012
En Europa se utiliza bastante una placa de carga dinámica de origen alemán, con 30 cm de diámetro y carga por impacto de una maza manual de 10 kg. Toda la información la tienen aquí http://www.fernandeztadeo.com/eqimpacto.htm
Freddy J. Sánchez-Leal - 1 octubre, 2012
Carlos, aprecio mucho este comentario y esta valiosa información que nos es de suma utilidad. Al igual que el GeoGauge, el penetrómetro dinámico de cono y el ensayo de placa, este tipo de ensayos que nos recomienda caería en el Nivel 2 de la pirámide de diseño y lo voy a incluir en la información que damos en nuestros seminarios pues lo desconocía. Sin embargo, en el artículo hacemos referencia a un ensayo dentro del Nivel 3 de la pirámide y que nos ayuda a mejorar notablemente el producto del ensayo CBR, tan extendido por el mundo, pero a la vez tan criticado.
Freddy J. Sánchez-Leal - 1 octubre, 2012
Sobre la pirámide de diseño hay una exposición muy completa en este artículo http://blogramcodes.blogspot.com/2012/04/tres-formas-de-disenar-un-suelo.html
WALTER MORALES UCHOFEN - 1 octubre, 2012
EXPRESO CORDIAL SALUDO FREDDY SANCHEZ
FELICITACIONES POR DAR A CONOCER VUESTRAS INVESTIGACIONES.EN LA ESCUELA PROFESIONAL DE INGENIERIA CIVIL, DE LA FICSA-UNPRG-LAMBAYEQUE EN PERU, HEMOS ADQUIRIDO EQUIPOS PARA LA REALIZACION DE ENSAYOS DE CBR EN LABORATORIO Y UNO PARA RELIZAR ENSAYOS DE CBR INSITU, LA INQUIETUD ES, HAS REALIZADO ALGUNOS ESTUDIOS UTILIZANDO ESTOS EQUIPOS ( DE CAMPO Y LABORATORIO) Y COMPARADO SUS RESULTADOS PARA MUESTRAS TOMADAS EN LA MISMA ZONA DE MUESTREO.PREGUNTO ESTO DADO QUE AUN ESTOS EQUIPOS ADQUIRIDOS NO SE HAN UTILIZADO.COMENTO QUE EN EL LABORATORIO DE PAVIMENTOS DE NUESTRA FACULTAD SE HAN REALIZADO DIVERSOS ESTUDIOS DE CBR…….CON LOS FUNDAMNETOS DE VUESTROS ARTICULOS TRATAREMOS DE APLICAR A RESULTADOS QUE SE TIENEN EN LA BASE DE DATOS.
SALUDOS.Dr.Ing.Civil Walter Morales Uchofen.Docente de la Escuela Profesional de Ingenieria Civil.
Freddy J. Sánchez-Leal - 1 octubre, 2012
Estimado Dr. Walter Morales,
Le agradezco mucho su amable comunicación y sus conceptos pues son muy apreciados para mí. Le felicito por los nuevos equipos adquiridos y pienso que les sacarán mucho provecho para la formación de los futuros ingenieros, y para la investigación.
El año pasado participamos asesorando a un cliente en la verificación de un terraplén de prueba, y comparamos módulos elásticos medidos con CBR en laboratorio, con módulos elásticos medidos con ensayo de placa en campo, y utilizando la tecnología RAMCODES. En este artículo explico de forma general cómo se hizo http://blogramcodes.blogspot.com/2012/07/terraplenes-y-validacion-de-resistencia.html.
Opino que siendo el CBR un ensayo de placa, con una placa de 0.05 m en vez de una de 0.30 m, por ejemplo, las comparaciones entre campo y laboratorio serían válidas si se logra tener la misma velocidad de carga, el mismo grado de saturación, y el mismo nivel de sobrecarga. Yo estaría encantado de poderles colaborar en esto. Mi correo es ramcodes@gmail.com.
Atentos saludos,
Robinson Villalobos - 14 octubre, 2012
Gracias por aclarar la duda Ingeniero!
Oswaldo Caballero - 5 septiembre, 2013
Buenas Tardes Ing. Sánchez, es un placer saludarle! Le escribo para dos cosas: La primera para felicitarle por su ardua labor por seguir aportando tanta información útil e interesante. Y la segunda para pedirle su colaboración, si es posible, para la realización de mi tesis de Pregrado de Ing. Civil. De verdad estoy muy interesado en este tema y me gustaría que me facilitara información ya que hay cosas que no me están muy claras. Agradezco su atención y espero su pronta respuesta!
ing. roberto gonzalez - 22 mayo, 2014
Excelentes comentarios sobre la mini placa.
Tengo una pregunta un poco afuera del tema.
Cuanto afecta un resultado de la miniplaca de un suelo altamente salino o arena de playa de msr con bastante sal..grracias un saludo desde Guatemala. Aatte
Ing. Roberto Gonzalez
Ing civil y MsC ingenieria vial
Marcos capo - 14 octubre, 2014
Excelente su aporte ingeniero y a los ingenieros por el debate. Siempre se aprende algo nuevo. Gracias
Ing. Max Quiñonez - 22 marzo, 2015
Ing. Freddy Sánchez Un saludo y admiración por compartir la misma pasión por la mecánica de suelos, sus comentarios son bastante interesantes y ae les puede sacar bastante provecho trabajo desde hace 10 años en un laboratorio y empleamos este método del CBR para los parámetros de modulo de resilencia en diseño de pavimentos, para los mayeriales de base y sub-base el método VRS y nunva hemos pensado en sus pro y contras, lw reiteró que gracias a sus comentarios podremos también preguntarnos de la misma manera si son confiables, gracias y un saludo desde Nuevo Laredo, tamaulipas, México
francisco tapia retamozo - 23 marzo, 2015
Ing. Muy buenos días, soy peruano y para mi es muy novedoso y quisiera saber mucho mas del tema para así poder apolicarlo aquí en mi país, yo no se si seria mucho pedirle , me gustaría que me envié el articulo completo y así poder tal vez reforzar el tema .
Muchas gracias y bendiciones
javier - 30 septiembre, 2015
Muchas gracias por el aporte
Jacinto - 28 marzo, 2016
Buenos dias ingeniero.
Comenta que para obtener el módulo de Elasticidad (E) de este ensayo se podría utilizar la fórmula de Boussinesq que se emplea en el ensayo de placa de campo ASTM D 1194 ¿aun es valido hacerlo? Ya que esa norma fue dada de baja y no hay reemplazo.
Le agradezco sus comentarios.
Saludos.